Hykrion

Aprendiendo a aprender

¿Por qué obtenemos una onda senoidal al aplicar un filtro paso bajo de orden 3 en una onda cuadrada?

En un montón de webs explican cómo obtener una onda senoidal de forma sencilla a partir de una onda cuadrada, pero no he visto ninguna que explique porqué es esto. Como es muy sencillo y como he visto un error grave de concepto en el encadenamiento de filtros, voy a escribir un pequeño artículo.

Series de Fourier

Si examinamos en la Wikipedia el apartado sobre series de Fourier ya vemos de forma inmediata la respuesta a nuestra pregunta

Serie Fourier Wikipedia

Una onda cuadrada periódica (y de hecho cualquier tipo de onda periódica), está formada por una serie de ondas senoidales y cosenoidales. De hecho, en la figura se puede apreciar cómo se va formando la onda cuadrada a partir de ondas senoidales y la primera de ellas, la fundamental, es nuestra onda senoidal.

Examinando la serie de Fourier de una onda cuadrada vemos que está formada por los senos impares. Si realizamos la suma de los 5 primeros términos obtenemos la siguiente figura,

Fourier onda cuadrada 5 términos

y si vamos a aumentando el número de términos tenidos en cuenta, veremos que cada vez más nos aproximamos a una onda cuadrada

Fourier onda cuadrada 100 términos

.

Por tanto, si filtramos adecuadamente las frecuencias altas, nos quedaría

Fourier onda cuadrada 1 término

Filtros

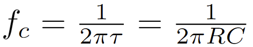
Lo más fácil para crear un filtro paso bajo es utilizar un condensador y una resistencia. Imaginemos que queremos obtener una onda senoidal de 1kHz. La ecuación

Filtro RC

nos lleva a la siguiente configuración

Filtro de 1er orden 1kHz

con la que obtenemos

Carga / descarga del condensador

que como vemos es muy deficiente. La razón la podemos encontrar en la sección de la Wikipedia donde explica el comportamiento del filtro RC pasabajo donde podemos ver cómo estamos atenuando la señal en -6dB por octava (o -20dB por década),

Atenuación según el orden

lo cual no es suficiente. Por tanto, vamos a incrementar el orden del filtro simplemente concatenando filtros de primer orden.

Respuesta en frecuencias

Lo habitual en estos casos es estudiar la respuesta en frecuencia utilizando Laplace. Para ello, tenemos anterior circuito

Laplace 1er orden

y sus ecuaciones

Laplace 1er orden

quedando

Laplace 1er orden

Ecuaciones a las que hubiéramos llegado más fácilmente utilizando Thevenin y la transformada de Laplace misma,

Laplace 1er orden

que realizando la transformada inversa de Laplace, efectivamente obtenemos la curva de la carga del condensador

Transformada inversa

Filtro de 2o orden

Hasta aquí todo bien. Vamos pues ha aumentar el orden del filtro concatenando 2 de ellos

Filtro de 2o orden 1kHz

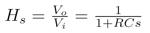
Como la nueva tensión de entrada es la tensión de salida del circuito anterior, la nueva función de transferencia es

Filtro 2o orden incorrecto

… ¿verdad?

Pues no. Y este es el error de concepto que quiero comentar: Cuando se deduce la función de transferencia de un circuito aislado, se supone que la salida NO está cargada. Puedes encontrar más información en apartado “Funciones de transferencia de elementos en cascada” del Tema 2 - Modelo matemático de sistemas dinámicos en Ogata. Si volvemos a realizar Laplace del circuito

Laplace 2o orden

Llegaremos a

Laplace 2o orden

que tras varias manipulaciones obtendremos

Laplace 2o orden

Que como puedes ver no se parece en nada a la función de transferencia que habíamos calculado anteriormente incluso haciendo R1 = R2 = R y C1 = C2 = C.

Filtro de 3er orden

Como puedes ver ya con un filtro de 2o orden no solo la cosa se complica sino que en cada paso, vamos perdiendo señal. Revisando las gráficas de la Wikipedia vemos que ya tenemos una atenuación de -40dB/década, pero esto no es suficiente. Necesitamos llegar a -60dB/década, es decir: añadir un tercer filtro.

Más allá de un simple filtro RC

Quería probar otro tipo de filtros pasivos más sofisticados que los típicos filtros RC, así que me decanté por los filtros Butterworth y Chebyshev.

El diseño de este tipo de filtros requiere de una entrada propia en el blog, así que lo trataré en su propia entrada. De todas formas, adelanto que he implementado un filtro Butterworth de orden 2 y un filtro Chebyshev de orden 3 y rizado 1dB, para una fc=1kHz y RL = 50ohm.

Butterworth

Parece que la característica principal de este tipo de filtro es su respuesta plana en la banda de paso. Aún así quería darle una oportunidad porque está estrechamente relacionado con Chebyshev.

Butterworth n=2

Para ello simulé un filtro de orden 2, y la verdad que me sorprendió la respuesta obtenida

Butterworth n=2

pero la realidad era mucho peor… aunque también hay que decir que los valores reales del circuito eran meras aproximaciones. El análisis de Fourier nos muestra las vergüenzas de la “senoidal” obtenida (aunque era de esperar para un filtro de orden 2)

Fourier Butterworth n=2

que como vemos tiene un montón de armónicos además del fundamental y 2 de ellos con una amplitud muy considerable.

Chebyshev

En este caso, la característica principal de este filtro, es la abrupta caída desde fc y el rizado de la señal en la banda de paso. Como he dicho antes, en este caso implementé un filtro de orden 3 (-60dB/década) y rizado 1dB,

Chebyshev n=3

y la respuesta en la simulación era muy buena

Chebyshev n=3

En este caso, aunque los valores reales del circuito también son una burda aproximación, el resultado es mucho mejor que los obtenidos con el filtro Butterworth anterior, aunque evidentemente se debe a que este filtro es de orden 3…

Fourier Chebyshev n=3

Como vemos, el único armónico destacable es el tercero. La señal es mucho más limpia y de hecho en el osciloscopio la senoidal de 1kHz obtenida a partir de una onda cuadrada de también 1kHz, tiene una pinta muy buena.